两端加了电压,因此在随后导通的这一段时间内,电感会被充电,电流不断上升,因此在后面
那这种情况下,导通损耗怎么计算呢?我们可以用积分推导的方式求解出来,具体过程如下图:
电容是某一固定电压条件下测试的,实际上电容本身就是电压的函数,而且是非线性变化的,就是说不同电压下,电容不一样。比如下图是

值得一提的是,哪怕我们的工作电压和规格书中标注的电压一致,也没有用,又
,就是我们不知道米勒平台电压是多少,这个也是需要我们根据相关参数推算出来的。
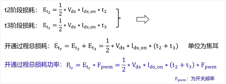
Etr=Et2+Et3=1/2*Vds* Ids_on *(t2+t3)

管的开通损耗和关断损耗,我们把他们加起来,就能得到总的开关损耗了,相关公式汇总如下:
1/6,因此我们可以归一化公式。4、开关损耗归一化公式最终我们我们把公式汇总如下:
除了导通损耗和开关损耗,我们通常还比较关心MOSFET的栅极串联电阻的损耗,因为电阻有额定功率,我们需要根据功率选择合适的封装大小。
给出的公式倒是没什么问题,但是为什么是这样的?我网上找了也没看到有比较信服的理由,所有我又自己推了下。
导通的过程,就是驱动器对栅极电容充电的过程,只不过这个电容是动态变化的,我们化繁为简,假定栅极平均电容为
可以看到,一次开通和一次关断,栅极电阻消耗的功率是相同的,因此我们可以求得总的功率损耗如下图
通常,我们将MOS管视为一个三端器件,包括栅极、源极和漏极。然而,衬底是其隐藏的第四个端子。下图为一个nMOS,g、s、d、b分别代表栅极、源极、漏极和衬底。上图为以nMOS为例,简述其关断、线性区和饱和的条件绝大多数情...
第一部分 静态非理想特性几乎所有的书籍资料,在讲解MOSFET的时候,都喜欢先从微观结构去分析MOSFET基于半导体特性的各种结构,然后阐述这些结构导致其参数的成因。但是这种方式对于物理基础较弱的应用型硬件工程师是非常不...
最好的仿真器是由实际需要它们的企业开发的,而不是软件公司。LTspice就是这样的仿真软件,LTspice是免费的,目的是帮助大家用比其他仿真器更好的仿真器来仿真ADI产品。LTspice的自由分发版本与内部用于IC设计...
思博(Cybermax:MOS管、电感、EMC/EMI、LED灯、磁珠)、松木(Matsuki:MOS管)授权总代理---深圳市津利帝科技有限公司 深圳市津利帝科技有限公司是香港津利得国际贸易有限公司在深圳设立的全资子...
近年来,工业电源市场对氮化镓(GaN) FET和碳化硅(SiC) FET等高带隙器件的兴趣日益浓厚。GaN器件凭借显著降低的电荷特性,能够在较高开关频率下实现高功率密度,而MOSFET在相同条件下运行时会产生巨大的热损耗...
思博(Cybermax:MOS管、电感、EMC/EMI、LED灯、磁珠)、松木(Matsuki:MOS管)授权总代理---深圳市津利帝科技有限公司 深圳市津利帝科技有限公司是香港津利得国际贸易有限公司在深圳设立的全资子...
最好的仿真器是由实际需要它们的企业开发的,而不是软件公司。LTspice就是这样的仿真软件,LTspice是免费的,目的是帮助大家用比其他仿真器更好的仿真器来仿真ADI产品。LTspice的自由分发版本与内部用于IC设计...
本文将逐步介绍如何将第三方SPICE模型导入到LTspice中。文中涵盖了两类不同模型的导入过程:使用.MODEL指令实现的模型,以及用.SUBCKT实现的模型。所提供的步骤旨在确保共享原理图时能够具备可移植性。...
最好的仿真器是由实际需要它们的企业开发的,而不是软件公司。LTspice就是这样的仿真软件,LTspice是免费的,目的是帮助大家用比其他仿真器更好的仿真器来仿真ADI产品。LTspice的自由分发版本与内部用于IC设计...
Source、Drain、Gate分别对应场效应管的三极:源极S、漏极D、栅极G(里这不讲栅极GOX击穿,只针对漏极电压击穿)。一、MOSFET的击穿有哪几种? 先讲测试条件,都是源栅衬底都是接地,然后扫...
要实现陶瓷电容器的微型化,就必须在越来越小的空间内实现更高的电容值。为此,具有高介电常数(ε)和越来越薄的介电绝缘层的材料正在被实现,这使得现在有可能在工业级规模上生产高质量的陶瓷层。遗憾的是,介电常数εr=...
引言在电源设计中,控制回路的稳定性是确保电源可靠运行的关键。一个设计不当的控制回路可能导致电源振荡、输出纹波过大,甚至降低电磁兼容性(EMC)性能。此外,控制回路的响应速度直接影响到电源对负载变化和输入电压波动的适应能力...
本文详细介绍了在LTspice®原理图中添加电压控制开关的步骤。文中列举了几个示例,着重说明了电压控制开关在瞬态仿真中的使用。...
本文讨论如何在LTspice仿真中利用flat()、gauss()和mc()函数来实现伪随机数和真随机数的生成,并介绍如何使用设置面板的Hacks部分中的 Use the clock to reseed the MC g...
最好的仿真器是由实际需要它们的企业开发的,而不是软件公司。LTspice就是这样的仿真软件,LTspice是免费的,目的是帮助大家用比其他仿真器更好的仿真器来仿真ADI产品。LTspice的自由分发版本与内部用于IC设计...
思博(Cybermax:MOS管、电感、EMC/EMI、LED灯、磁珠)、松木(Matsuki:MOS管)授权总代理---深圳市津利帝科技有限公司 深圳市津利帝科技有限公司是香港津利得国际贸易有限公司在深圳设立的全资子...
LTspice 能让工程师快速绘制并仿真电路原理图。在设计初期,使用理想电路元件往往是梳理设计思路的最佳起点,但电路设计人员后续需要为基础的简易原理图添加更贴合实际的元件模型,以完善设计。LTspice 内置了丰富的第三...
最好的仿真器是由实际需要它们的企业开发的,而不是软件公司。LTspice就是这样的仿真软件,LTspice是免费的,目的是帮助大家用比其他仿真器更好的仿真器来仿真ADI产品。LTspice的自由分发版本与内部用于IC设计...
本文详细介绍了MOS管的基本结构和应用 MOS-TECH Semiconductor Co.,LTD 功率 MOS FET 功率 MOS FET 的特性 1. 绝对最大额定值及电特性 1.1 ...