【工程师笔记】都可以升压,Boost、Buck-Boost、Sepic拓扑怎么选?
工程师们在做电源设计时经常会有升压的需求,而常用的Boost、Buck-Boost、Sepic拓扑均可实现升压。这些拓扑有什么区别,该选哪个呢?

在一个周期内,当MOS管Q1导通时,二极管D1截止,输入给电感L1储能,输出需要的能量靠输出电容维持;当MOS管Q1关断时,二极管D1导通,输入源和电感L1共同给输出提供能量。
注:此拓扑输出的是负压,4开关的buck-boost可实现正压的升降压输出
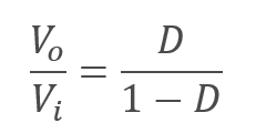
在一个周期内,当MOS管Q1导通时,二极管D1截止,输入给电感L1储能,输出需要的能量靠输出电容维持;当MOS管Q1关断时,二极管D1导通,电感L1给输出提供能量。 Buck-Boost的输入输出电压公式为:


一些工程师朋友可能对Sepic不太了解,MPS之前出了一篇文章专门讲解Sepic:
需要的MOS和二极管耐压等级至少为Vin+Vo,隔直电容C1的耐压等级至少为Vin
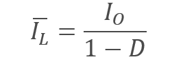
总结一下三种拓扑的电压电流特性。注意对于同样的输入输出电压,Boost拓扑的占空比D要小于Buck-Boost和Sepic
同种条件下Boost拓扑上电感电流的平均值会低于Buck-Boost和Sepic,MOS管和二极管上的平均电流也会更低。而Buck-Boost的电感电流平均值为Sepic拓扑的两个电感平均电流之和。
单纯的升压应用,选择Boost拓扑需要的器件耐压更低,同器件下发热量更小,可以尽量选用Boost拓扑来做。特别注意,Boost拓扑在不做特殊处理的情况下,无法实现输出过流保护和短路保护。而Buck-Boost和Sepic可以实现。
两开关的Buck-Boost只能出负压,可以用在输出负载和系统不共地的场合。四开关的Buck-Boost需要4个MOS或者两个MOS两个二极管,相对来说成本更高一些。
Sepic需要两个功率电感还需要多加一个隔直电容,会占用更大的板面积。方便之处是可以用现成的Boost芯片改为Sepic拓扑。