设计并制作一个简易以太网双绞线测试仪(简称测试仪),如图所示。待测以太网双绞线连接器与测试仪连接。线缆双端接入测试仪,测量线缆的线对连接关系(直连、交叉)、类型(非屏蔽双绞线UTP、双屏蔽双绞线SFTP)、直流电阻,以及交流衰减;线缆单端接入测试仪,测量线缆的长度和短路位置。测试仪由不大于6V的单电源供电。

(2)“双端检测”模式。要求测量并显示线缆的线对连接关系(直连、交叉)、类型(UTP、SFTP)、直流电阻值(长度范围1m~50m、相对误差的绝对值不大于10%),测量时间不超过5s。
(3)“单端检测”模式。要求测量并显示线m、相对误差的绝对值不大于5%),检测线缆是否存在线对间短路,测量、检测时间分别不超过5s。
(1)“双端检测”模式。要求测量并显示线MHz频率处的交流衰减dB值(长度范围10m~50m、相对误差的绝对值不大于10%),测量时间不超过5s。
(2)“单端检测”模式。要求测量并显示线m、相对误差的绝对值不大于1%),测量时间不超过5s。
(3)“单端检测”模式。要求测量并显示线缆的短路位置(长度范围1m~50m、相对误差的绝对值不大于1%),测量时间不超过5s。
(1)被测线缆由测评现场提供。测评现场还提供1m长SFTP型和50m长UTP型的线缆,供参赛队在测试前进行现场校准。
(2)作品测评过程中,除了按“双端检测”、“单端检测”一键启动相应功能并开始计时外,不允许对测试仪进行其他任何调整和操作。
(3)基本要求(2)中的“线对连接关系”是指直连线缆或交叉线缆,如下图所示。

(4)题目中的“线缆长度”为线缆水晶头边缘的直线距离,如下图所示。发挥部分(3)中的“短路位置”为水晶头边缘到短路中心点的直线)题目中检测相对误差的绝对值 。标准值是指由测量仪器测量得到的线)中的“交流衰减”是指线缆对的输出电压值UoPP与输入电压值UiPP之比,即交流衰减dB值为20lg(UoPP/UiPP)。测量时应注意阻抗匹配问题。

(8)作品不得包含任何专用测量仪器的主板或模块,不得使用称重、超声、激光和其他非电参数方法进行线缆参数测量。
双端测量时用于测量网线的直流电阻以及线对的连接关系,单端测量时可检查有否线间短路以及根据直流电阻计算短路点位置。
下面是一个直流电阻测量电路结构图。测试电压通过限流电阻后加到待测电缆两端(单端测量时加到同一端的两根芯线上),然后通过仪表放大器获得待测电缆两端的电压,通过检测采样电阻上的压降获得流过电缆的电流,就得到了待测电阻。模拟开关用于切换待测电缆芯线(更换线对、更换单端与双端等)。
常见的网线.64mm(22AWG)数种,直流电阻为89.4Ω/km、66.8Ω/km、54.3Ω/km。题目要求被测网线m,但没有指定线径,所以其直流电阻的可能范围约为50mΩ~4.5Ω,电路中的测试电流值应该根据这些电缆电阻值的可能范围进行设定。
由于本题中电缆电阻值的变化范围可能较大,为了提高测量精度,还可以通过改变限流电阻,分成几个不同量程测量。测量电流大一些有利于测量,但是要兼顾电源的输出能力与导线发热的影响。
需要指出的是,对于微小电阻值的测量,最好是采用四端测量法。此法消除了电流回路中接触电阻的影响,可以得到比较准确的测量值。按照图中的接法可以避免模拟开关内阻的影响。

但是本题目要求网线直接安装在水晶头上,除非自己加工一个特殊的水晶头插座,否则无法进行四端测量。因此按照上述电路虽然避免了模拟开关内阻的影响,但是无法避免水晶头接触电阻的影响,得到的结果很可能受到水晶头与插座之间的接触电阻的影响而导致误差增大。
上述方案中的仪表放大器对频响没有要求,但是对噪声、测量精度等参数有较高的要求。可以采用精密运放构成三运放仪表放大器,但是更方便的是直接采用集成仪表放大器,例如INA188,其最大输入偏移为55µV,输入噪声为0.25µVpp。可通过外部的RG设定增益。
测量射频衰减比较直接,只要在网线一端加以激励,在另一端接上负载,然后测试两端的差分电压值即可。由于是射频测量,所以要注意信号源、电缆、负载三者之间都应该阻抗匹配。网线Ω,所以信号源端可以用两个输出阻抗都是50Ω的射频放大器(一同相放大器、一反相放大器)构成差分信号输出,负载端直接用一个100Ω的电阻即可。
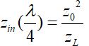
其中z0是传输线特征阻抗,zL是传输线终端负载阻抗。当终端开路时,zL为无穷大,所以此时从传输线输入端看进去的理论阻抗为0。
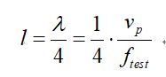
启动单端测量后,控制高频信号源从低频开始逐步提高测试频率(扫频),同步读取电缆始端的电压,记下出现第一个极小值时的测试频率ftest(由于电缆以及测试装置的非理想特性,电缆输入端的阻抗不可能达到0,只要观察到一个极小值即可),此时电缆的长度就是该频率的四分之一波长,可根据下列公式计算电缆长度:

其中vp是网线内信号的相速度。通常它是一个低于光速的值(大致为光速的二分之一到三分之二),可事先对使用的电缆进行实际测试以获得其准确值。

其中扫频信号源的频率范围应该满足长度检测与衰减检测的要求,按照vp=0.66C计算,1m~50m长度的网线波长对应的测试频率大约在1MHz~50MHz,所以扫频范围至少要满足1MHz~50MHz,实际采用DDS信号源比较合适。信号源的驱动器可以采用高频运放。两个放大与检波电路中的放大器可以选用具有足够频响、输入电阻高、输入电容小的集成放大器构成差动放大器,并尽可能靠近电缆的接插件。检波电路可以采用高频乘法器(例如AD835)或集成检波芯片(例如AD8361)。不能采用二极管检波电路。因为检测电缆长度时要找到极小值,而二极管检波电路对于小信号不敏感。

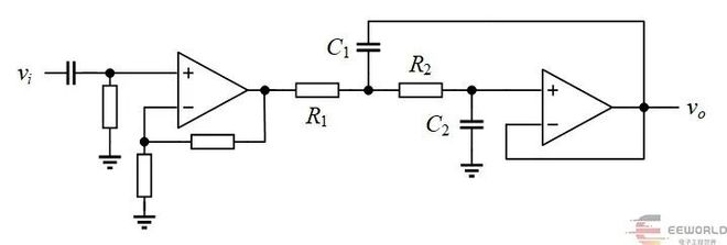
设计并制作RC 有源滤波电路(简称已知模型电路)和电路模型探究装置(简称探究装置)。基本要求中,探究装置可自动调节本身的输出信号并加给“已知模型电路”,使该电路按要求输出信号;发挥部分中,探究装置可对测评现场提供的“未知模型电路”进行自主学习、建模,并根据该电路输入端的信号推理生成与该电路相同的输出信号。
的“已知模型电路”。由信号发生器输入频率100Hz~3kHz、峰峰值1V 的正弦信号,使用示波器测量该电路输出电压幅度,如图所示。要求该电路输出电压幅度与传递函数H(s)表征的输出电压幅度的相对误差绝对值不大于10%。
(2)探究装置能产生正弦信号,要求频率可设置(步长100Hz),最高频率不小于1MHz,频率相对误差绝对值不大于5%;各频点输出电压峰峰值的最大值不小于3V。
(3)将探究装置的输出端连接“已知模型电路”的输入端,如下图所示。设置探究装置输出1kHz 的正弦信号,并依据基本要求(1)中的H(s)确定输出信号幅度,使得“已知模型电路”输出电压峰峰值为2V。要求该电路输出电压与设定值(2V)的相对误差绝对值不大于5%。

(4)基本要求(3)中,探究装置可设置并输出100Hz~3kHz 频率范围内的正弦信号,依据基本要求(1)中的H(s)确定输出信号幅度,使得“已知模型电路”输出电压峰峰值为设定值(范围1~2V、步长0.1V)。要求该电路输出电压与设定值的相对误差绝对值不大于5%。
(1)测评现场提供由RLC 元件(各1 个)组成的“未知模型电路”。按照下图所示,探究装置连接该电路的输入和输出端口,对该电路进行自主学习、建模(不可借助外部测试设备),2 分钟内完成学习建模,显示“未知模型电路”的滤波类型。

(2)学习建模完成后,断开探究装置和“未知模型电路”的端口连接,将信号发生器接入探究装置和“未知模型电路”的输入端口(探究装置输入电阻不小于100kΩ),如下图所示。探究装置能根据信号发生器的输出信号推理生成与“未知模型电路”相同的输出信号。要求探究装置和“未知模型电路”的输出信号相比波形无失真、在示波器上能连续同频稳定显示(相位无要求),两者峰峰值相对误差绝对值不大于10%。

信号发生器的输出为频率1kHz~50kHz(步长200Hz)、峰峰值2V 的周期信号,类型分别为:正弦波、矩形波(占空比10%~50%、步长5%)和其他周期信号。

(2)基本要求(3)(4)和发挥部分(2)中,“已知模型电路”和“未知模型电路”的输入、输出端均只有1 根信号线和地线,探究装置与“已知模型电路”和“未知模型电路”输出端无任何反馈连接;探究装置需在启动后5s 内生成信号输出。
(3)基本要求(3)(4)中,探究装置具有通过按键等设置所产生信号的频率、所控制的“已知模型电路”输出电压值功能。设置完成后,一键启动信号输出,后续不可人工干预。(4)发挥部分(1)中,“未知模型电路”中元件值范围:R(1kΩ~10kΩ),L(1mH~10mH),C(10nF~100nF);电路连接完成后,使用唯一“学习键”启动探究装置学习建模,后续不可人工干预;“未知模型电路”的滤波类型指低通、高通、带通或带阻。
(5)发挥部分(2)中,信号发生器设置完成后,一键启动探究装置,后续不可人工干预。示波器以“未知模型电路”输出为触发通道,要求双踪显示的探究装置与“未知模型电路”输出波形相同、无漂移。

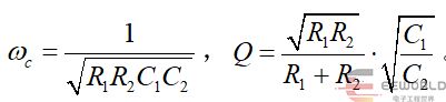
通常取C1=C2,然后根据要求计算电阻值。例如在本题中,可以取C1=C2=33nF、R1=7.93kΩ、R2=1.16kΩ。考虑到滤波器的直流增益为1而题目要求直流增益为5,所以在它的前面增加了一个增益等于5的放大器。采用电容耦合可以使它与输入信号之间不会产生直流电平不匹配问题。

这个电路在两个电阻相等、两个电容相等的时候,正好满足题目要求。其中前后两级放大器仅仅起到隔离与改变直流增益的作用。但是这个电路仅仅满足本题的要求,若传递函数中的Q值不等于1/3,则无法使用这个电路。

A、根据基本要求(2),产生频率可设置的正弦信号(步长100Hz),最高频率不小于1MHz,频率相对误差绝对值不大于5%。输出电压可以控制,最大峰峰值不小于3V。B、根据基本要求(3)、(4),综合后的要求是:可设置并输出100Hz~3kHz 频率范围内的正弦信号,输出电压可控制。
C、根据发挥要求(1),探究装置可以输出正弦信号至“未知模型电路”,并采集“未知模型电路”的输出信号以确定电路模型。题目规定“未知模型电路”由RLC三个元件组成,所以它可以是低通、高通、带通、带阻4种滤波器中的一种,且是一个二阶滤波器。此二阶滤波器的截止频率或中心频率为品质因数为根据题目给定的元件值范围(R=1kΩ~10kΩ,L=1mH~10mH,C=10nF~100nF),可以计算此“未知模型电路”的截止频率(或中心频率)的可能范围为5kHz~50kHz、Q值的可能范围为1~100(要注意的一点是:由于实际的LC元件尤其是电感的Q值有限,所以实际“未知模型电路”的Q值大概率不会高达100)。
由上述分析,要求探究装置的输出正弦波的频率范围应大于5kHz~50kHz,最好幅度可控(可以配合“未知模型电路”Q值的变化引起的输出幅度变化以提高测量精度)。
D、根据发挥要求(2),当信号源的波形是正弦波、矩形波和其他周期波形时,探究装置能够复现信号经过“未知模型电路”后的输出波形。由于正弦波、矩形波和其他周期波形经过一个2阶未知函数网络后的输出波形可能由各种形状,所以探究装置应该能产生周期性的任意波形,频率范围为1kHz~50kHz(步长200Hz)。
显然,上述A、B、C三条均要求输出正弦波,也均要求输出幅度可调,只是其频率范围不同。所以可以合并为一个要求:产生一个频率、幅度均可调的正弦波,最高频率为1MHz。这一条可以用频率合成器实现,也可以用DDS实现,但显然用DDS更合适。
上述D条要求产生任意周期波形,频率为1kHz~50kHz。如果这一条也用DDS技术实现的话,需要在DDS内部的波形存储器中写入任意波形的数据。但是常见的DDS芯片都仅支持正弦波及其调制波形,笔者不知道是否有可以写入波形数据的DDS芯片。所以一个可能的选择就是选用一个时钟频率足够高的MCU,直接通过MCU的DAC输出任意波形(或者用IO口输出数据,外部DAC产生任意波形)。这样构成的信号发生器包含两套电路,最后通过模拟开关选择输出。
上述DDS部件(或MCU产生波形的DAC)之后还应该有幅度控制电路,可以用压控放大器(例如VGA810、AD603等)、乘法器(例如AD835)、或者数控衰减器(例如HMC307)等实现。其中压控放大器的输出与控制电压的关系通常是增益按dB变化,而乘法器的输出与控制电压成线性关系。数控衰减器也是按dB变化,但是由于它的增益为负dB,所以还需要另外一个放大器与之匹配。
根据发挥要求(1),探究装置的数据采集部分应该与信号发生器部分配合,探测“未知模型电路”的传递函数。在此要求中,输入波形为正弦波,频率范围为1kHz~50kHz,只要测量“未知模型电路”输出信号的幅度随频率变化就可以得到“未知模型电路”的幅频特性,也就可以得到其传递函数。
因此数据采集部分既可以用ADC直接采集波形数据然后用软件得到其幅频特性,也可以先将“未知模型电路”的输出信号用检波电路转换为直流再通过ADC检测其幅度。前者对于ADC采集速度的要求略高于后者,但最高信号频率只有50kHz,还不算很高。且直接ADC还可以满足发挥要求(2)的测量需求,所以应该采用这个采集方式。
发挥要求(2)需要探究装置采集外部信号源激励“未知模型电路”的信号,信号类型包括正弦波、矩形波、以及“其他周期波形”。探究装置根据ADC获得激励信号的波形、频率与幅度,并据此判断信号类型,写出激励函数,再根据发挥要求(1)得到的“未知模型电路”的传递函数,推算出“未知模型电路”的响应函数。将此响应函数从复频域转换到时域,再将此时域响应的波形经DAC输出。
此发挥要求(2)需要学生掌握常见传递函数表达式以及拉普拉斯变换等数学知识,可能是此题中最难的部分。正弦波与矩形波都可以查到对应的函数表达式,还算是比较容易的内容,而那个“其他周期波形”需要直接从波形数据推断激励函数,如果是一个真正的“任意波形”,笔者也觉得无从下手。
根据上述分析,整个探究装置的结构框图如下图。其中的量化噪声滤波器用以滤除DAC的量化噪声,ADC前面的缓冲放大器用以满足题目对于波形采集电路的输入电阻不小于100kΩ的要求。


3、赛区提供:电阻(含可调)、电容、普通二极管等(数量不限、参数不限);4、赛区提供±5V直流电源。
利用综合测评板和若干电阻(含可调)、电容元件、普通二极管等元件,设计制作电路:当按键分别接A、B、C、D时,将键控转换为对应的控制电压(要求控制电压绝对值分别为0.8、1.6、2.4、3.2V),控制产生不同频率的连续脉冲信号输出,输出脉冲为标准TTL电平,最低频率≥1kHz,频率调节间隔≥500Hz,输出脉冲的占空比在20%至80%之间连续可调。
3、参赛队应在理论设计基础上进行作品制作与实验调试,理论设计(报告)占3分,作品实现占27分,其中各部分(见参考电路)分值分配如下表。为便于测试,各单元电路均应设置并标记相应的测试端子。
5、不允许在测评板上增加使用BJT、FET管,如果增加则按3分/只扣分。

6、原则上不允许参赛队更换测评板,如果损坏测评板只可更换一次并扣10分;如果损坏板上芯片不更换测评板,则每更换一块芯片扣5分。

通常在卡诺图中圈1(红色圈),但是考虑到74LS00是个与非门,圈0比较合适,改用绿色圈。那样就有编码器电路如下。其中利用了TTL电路输入悬空就是1的特点,如果用的是CMOS电路(例如用74HC00),就需要在输入端接入上拉电阻。

通常的DAC电路采用R-2R电阻网络。那个网络的优点是只要两种阻值的电阻就可以构成任意位数的DAC。但是对于这个题目,DAC的输入只有2位,所以完全不需要那么复杂,只要简单地用两个电阻构成加法器的权电阻即可。
但是这里有另一个问题需要考虑,就是DAC的输入是74LS00的输出,是一个TTL电平,其低电平大约是0.1~0.3V,高电平大约是3~3.5V,均与器件本身以及外界负载有关。而题目要求DAC有一个线.8V,所以要在加法器中设置偏置电路抵消TTL低电平的影响。一个可行的DAC电路如下:

此电路中,运放、R1、R0与R2构成反相加法器,运放同相端通过R3接地,在其上叠加了一个参考偏置电压Vr。
可以写出上述电路的输出电压表达式如下VB1、VB0是2-4编码器的输出电压,可以写为其中Dn是数字量输出,1或者0。VOH、VOL分别是TTL电路的输出高电平与输出低电平。

令R0=2R1,则两个数字量的权重比为2:1。根据题目要求的VO值,再通过数据手册或实测得到74LS00的输出高电平VOH与低电平VOL,可以计算上述电路中的各电阻值。
这个压控振荡器的结构已经在题目中给出。若要求其输出频率与控制电压完全线性,通常要用控制电压产生两个正负电流源,然后用施密特触发器的输出控制其中哪个对积分器积分,那样积分器的输出将是一个三角波,其频率与控制电压成正比,通常称为VFC(电压-频率转换器)。
但在这个题目中,约束条件是只能使用一片4运放,且不能使用晶体管,所以没办法实现线性控制。实际上题目也没有要求线性控制,只是要求最低频率不小于1kHz,每个步进间隔不小于500Hz即可。这时的解决方案如下图:
其中第一个运放构成反相积分器,第二个运放构成同相滞回比较器(注意其输入端的极性是正反馈),二极管与R10构成积分电路的电容放电回路,R11构成起始频率偏置电路。
这个电路的工作过程是:前级(2-4编码器)输出一个负电压,通过R7对C1反向充电,积分器的输出为一个正向的斜坡电压(锯齿波的上升段)。当积分输出达到比较器的正阈值后,比较器翻转后输出高电平,二极管导通,比较器输出对电容正向充电,使积分器的输出迅速下降(锯齿波的下降段)。到达比较器的负阈值后,比较器再次翻转,二极管截止,开始下一次积分。
只要R10足够小,则通过二极管向电容充电的时间就足够短,振荡器的频率大致上就由锯齿波的上升时间确定。

这里有一点要注意的是:理论上R10的值越小越接近理想状态,但是实际取值是要考虑运放的输出能力。LM324的最大向外输出电流(Source)大概只有30mA,设计时必须注意这个限制。
从比较器开始计算这个电路。比较器中的放大器工作在开环状态,其输入端是R8左侧,输出是运放的输出端。设运放的开环输出上限为VO+,下限为VO-,则比较器输入端的两个反转阈值分别为
由于此比较器的输入就是前面积分器的运放输出,考虑到运放正负输出的不对称等因素,为了避免由于前级输出受限而达不到后级的翻转阈值导致振荡器停振,此比较器的输入翻转阈值应该比运放的输出极限值小一些,可以令R8/R9=1/2~2/3。确定了这个比例就可以确定比较器输入端的两个翻转阈值VTH+和VTH-。
控制电压就是前面的DAC的输出VO,是一个负电压。这个负电压输入时,积分输出是锯齿波的上升斜坡,其上升时间为题目要求每个step频率变化大于500Hz,即其周期小于2ms,而VO的step为0.8V,所以就有考虑到实际输出中还有锯齿波下降沿,上述公式中右侧的上升时间还可以取得更小一些,例如取1.5ms。这样在确定了比较器的两个输入翻转阈值以后,就可以确定R7与C1的值。
由于题目要求在第一个step时的输出频率大于1kHz,所以设置R11提供偏置电流,使得在输入控制电压为0时的输出频率大于500Hz。据此可以确定R11的值。
题目要求最后的输出为矩形波,输出电平符合TTL电平要求,占空比20%~80%连续可调。下图是符合这些要求的电路:
其中运放工作在比较器状态。R13R12,形成一个轻度的滞回,用于避免噪声的影响。R14~R16形成比较电压,改变此电压可以改变输出占空比。由于运放的输出不符合TTL电平,所以最后用两个门电路作为输出电路。R17与二极管是钳位电路,当运放输出负电压时将门电路的输入钳位在-0.7V左右。
将上述所有电路连接就得到了本题的解,正好将4个运放、4个与非门全部用完。
这个电路在制作的时候要注意的是:运放的电源位正负5V,与非门的电源是+5V,一定不能搞错。另外,这些器件随封装的不同其引脚也有不同,接线时一定要仔细核对。

特别声明:以上内容(如有图片或视频亦包括在内)为自媒体平台“网易号”用户上传并发布,本平台仅提供信息存储服务。
【火腿快新闻】采购100台新一代SDR装备,两个50W放大器车载台和登陆士兵用5W便携设备