在分析晶体管相关电路的时候经常会用到相关电阻的公式,这里做一些汇总,以便查阅。
下面直接基于两个基本公式进行推导(求导求斜率),自己推导一遍理解更深刻。也将教科书上面的间接推导方式放出,进一步加深理解。
求电阻就是求电压电流之比,对应到电压电流曲线上的切线(导数)。这样基于上面的基本公式可以进行求导推导得出电阻。在推导过程中有时候适当使用近似公式。
注意对每个电阻的定义。另外静态工作电流表述IE或者IEQ都是指一回事情,可能混用。
对发射结到基极的PN结,根据上面二极管的推导,可以得到这个PN结电阻公式re:
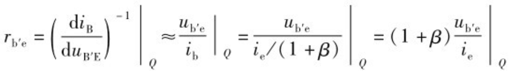
对特定点,iB用对应的IEQ静态电流替换/带入,参见放大电路中的直流负载线和交流负载线理解为什么能替换:


考虑到ube/ie就是小信号条件下发射结的正向偏置电阻re,由上面的PN结正向偏置交流电阻的估算公式:


由以上分析可以看出,rbe是发射结的正向偏置电阻re折合到基极回路的等效电阻,反映了基极电流受控于发射结电压的物理过程,rbe越大,ube产生的ib越小。从数值上来看,rbe与发射极工作点电流IEQ近似成反比。其物理概念是:工作点电流较大时,发射结电压增量产生的iC和iB的电流增量都会增大,也即发射结的信号电压产生的ic和ib的信号电流会增大,即rbe减小。
由于厄尔利电压UA的典型值为100 V,在BJT的工作点Q(ICQ,UCEQ)上通常满足UA≫UCEQ,所以rce可近似估算为:

rce的大小反映了uCE在反偏集电结上的电压增量通过基区宽调效应(也称厄尔利效应)产生iC增量的大小。rce越大,iC受基区宽调效应影响越小,输出特性曲线越平坦,理想条件下输出特性曲线为水平线,rce→∞。一般当uBE一定时,iC受uCE的影响较小,rce的值较大,通常在几十千欧姆以上。
rbc反映了反偏集电结电压的变化对基极电流的影响。rbc越大,uce产生的ib 越小。由于集电结反偏电压增加时,根据前述的基区宽调效应,基极电流会减小,使得式(2-36)中的导数为负值,故rbc取其绝对值。BJT在线性运用时由于集电结反偏,因此rbc很大,约为100kΩ~10MΩ。

跨导gm反映了发射结电压uBE对集电极电流iC的控制能力。gm越大,则发射结电压增量产生的集电极电流的增量就越大。在小信号条件下,gm近似等于集电极电流的交流分量ic与发射结上电压的交流分量ube之比。将ic≈ie代入式:
MOSFET是电压控制器件,栅极输入端上没有电流,故讨论它的输入特性是没有意义的。为了描述栅源电压uGS对漏极电流iD的控制作用,在输出特性的基础上引入转移特性的概念。所谓转移特性是指在漏源电压uDS为常数的情况下,栅源电压uGS对漏极电流iD的控制特性。
栅源电压对漏极电流的控制能力用跨导来反映,它相当于转移特性曲线工作点上的斜率。跨导gm是表征MOSFET放大能力的一个重要参数,单位为mS或μS。gm一般在十分之几至几mS的范围内,特殊的可达100 mS,甚至更高。值得注意的是,跨导随管子的工作点不同而不同,它是MOSFET小信号模型的重要参数之一。跨导数学定义如下:
可见,在βn为常数(W/L为常数)时,gm与过驱动电压(uGS -uGS(th))成正比,或与漏极电流ID的平方根成正比。
若漏极电流ID恒定时,gm与过驱动电压(uGS -uGS(th))成反比,而与βn的平方根成正比。所以要增大gm,可以通过增大βn(W/L)值,也可以通过增大ID来实现,但以增大W/L值最有效。
另外与双极型三极管(BJT)的跨导gm=IC/UT相比较可以看出:对于BJT管,当IC确定后,gm与几何形状无关,而MOS管的跨导gm除了可通过ID调节外,还和几何尺寸W/L的值有关;BJT的跨导gm与IC成正比,而MOS管的跨导gm与漏极电流ID的平方根成正比,因此在同样的工作电流情况下,MOS管的跨导要比双极型三极管的跨导小得多。
在集成电路中,为使各MOSFET管之间相互隔离,NMOSFET的衬底要接电路的最低电位,PMOSFET的衬底要接电路的最高电位,因此衬底和源极之间的电压uBS往往不等于零。通常把uBS对MOSFET特性的影响叫体效应或衬底调制效应,这是在MOS集成电路中必须考虑的问题。
开启电压值UGS(th)随衬底与源极间的负偏压数值的增加而增加,这种现象称为背栅控制特性。背栅控制特性反映了uBS(衬源电压或背栅电压)对iD的控制能力。定义如下: