低电感ANPC拓扑结构集成新型950V IGBT和二极管技术,满足光伏应用的需求
本文介绍了新型950V IGBT和二极管技术。950V IGBT结构基于微沟槽理念,与典型1200V技术相比,新型950V IGBT和二极管的静态损耗和/或开关损耗显著降低。通过分析应用需求与功率模块设计的相互作用,本文确定了功率模块的应用结果和优化路径。得益于经优化的功率模块设计和采用950V技术,近期推出的无基板Easy3B解决方案实现了全集成1500VANPC拓扑结构。该拓扑结构的额定电流达到400A,而杂散电感低至仅15nH。
提升开关速度、提高开关频率和增大功率密度是目前现代功率半导体器件主要的发展方向。特别是在光伏逆变器领域,开关速度、开关频率和功率密度是提高逆变器性能的三个重要杠杆。在变频器等其他应用中,应用特定限制条件(比如,使用的电机和电缆)限制了开关斜率。相比之下,光伏应用中没有开关速度限制条件。在光伏应用中,开关频率越高,开关速度越快,功率滤波器元件数量要求可能设计得越小。因此,光伏逆变器中最先进的开关器件应满足开关损耗极低的要求。
同时,像采用三电平中性点钳位型(NPC)或有源中性点钳位型(ANPC)拓扑结构的逆变器已经广泛地用于太阳能光伏应用。我们甚至可以观察到,为了提高系统功率密度和效率,逆变器采用五电平或多电平等更复杂拓扑结构的趋势显现。就光伏逆变器的阻断电压而言,典型工作电压增加,这反过来要求提高开关元件的阻断能力。尽管过去1100V光伏逆变器是主流产品,但市场上目前的产品和即将推出的光伏逆变器的额定电压均达到1500V。我们来重点讨论一下开关元件。由于650V IGBT和二极管是针对1100V逆变器母线电压进行优化的,其阻断能力不足以满足1500V逆变器母线电压的要求。这种情况下只能使用未经优化的1200V IGBT和二极管。当然,价格更高的光伏逆变器可能使用SiC MOSFET,但实际上到目前为止,市场上尚未推出采用Si-IGBT的简单解决方案。
本文介绍了新型950V IGBT和二极管技术。我们将新型950V技术与最先进的1200V器件进行比较。结果表明,与1200V器件相比,使用新型950V器件有助于大幅降低动态损耗和/或显著改进静态性能。然后,本文简要介绍了ANPC拓扑结构的进一步使用和研究。接着,本文探讨了功率模块设计、布局和拓扑结构需求之间的相互作用。显然,必须采用经优化的设计,只有这样才能实现最优性能。最后,本文介绍了一种适合1500V光伏逆变器的ANPC拓扑结构,其额定电流为400A。新推出的Easy3B模块完全集成了该拓扑结构。该低电感功率模块设计配置了950V器件,采用了经优化的设计。在典型开关频率(比如20kHz)条件下,该低电感功率模块的输出功率比标准硅基1200V技术高出25%-35%。
新型950V IGBT技术基于微沟槽(MPT)设计。众所周知,650V TRENCHSTOPTM 5和1200V TRENCHSTOP™ 7 IGBT器件均采用了该设计[1,2,3]。[4]中提供了微沟槽设计的原理图,并详细说明了该设计的特点和优化方式。由于采用可变接触方案,开发出两款具有不同性能的独立器件:快速开关IGBT(S7)和优化静态损耗的IGBT(L7))。前者的静态损耗处于中等水平,但动态损耗大幅降低;后者静态损耗较低。新型950V二极管基于现有650V RAPID技术,具备良好的软度和可靠的抗宇宙射线性能,并且动态损耗较低。
图1为650V、950V和1200V MPT技术的折衷曲线。图中给出的所有损耗值均是在结温(TJ)为150°C、额定电流和直流母线阻断电压VCES的条件下测得。从图中可以开出,650V MPT IGBT可以作为静态损耗较高的极快开关器件(H5)以及静态损耗优化的器件(L5)。与1200V T4相比,1200V MPT IGBT(T7)的静态损耗较低,并且动态损耗处于中等水平。由于具备1200V阻断能力,T7的动态损耗几乎是S5的8倍,但是两者在额定电流(Inom)下的集电极-发射极电压不相上下。因此,950V MPT技术缩小了这一性能差距。L7的动态损耗几乎比T7高约50%,但是L7的静态损耗明显更低。S7的动态损耗仅为T7的三分之一,但S7的静态损耗处于中等水平。

图1.650V、950V和1200V MPT IGBT技术权衡比较图。图中给出的静态损耗和动态损耗值均是在TJ=150°C和VDC=2/3∙VCES条件下测得。另外,图中给出了650V和1200V最先进第四代IGBT器件的损耗值作为参考。
应该注意的是,电流密度随着阻断电压的增加而降低。L7和S7的电流密度比T7大50%左右。因此,如果功率模块中使用的芯片面积相同,950V IGBT 的性能优势比1200V IGBT更加明显。另外,将L7和S7与最先进的1200V T4和650V E4进行比较,结果表明该性能优势与采用MPT理念和技术直接相关。
接下来,我们重点比较L7、S7和T7。图2显示了L7、S7和T7的关断和开通波形。关断时,S7的开关特性最硬,即开关斜率(dv/dt)最大且峰值电压VCE,peak最高。值得注意的是,由于栅极驱动单元固有绝缘能力制约,许多应用建议将dv/dtmax限制在25kV/µs。再来看S7,VCE,peak和dv/dt接近各自的最大值,并且超过了上述典型应用限值。L7和T7的表现十分软,未达到临界值。开通时,所有器件的开关性能不相上下。如果栅极电阻(RG)进一步降低,S7的开关损耗降低,dv/dt值增大。

图2.在VDC=600V和TJ=25°C条件下,当IC=Inom和IC=0.1∙Inom时,L7、S7和T7的关断波形(左侧)和开通波形(右侧)。表格包含特性参数。
图3显示了L7、S7和T7的动态损耗之和,即左侧的开通损耗EON和关断损耗EOFF,以及右侧950V RAPID二极管和1200V EC7的恢复损耗之和。比较在相同的芯片额定电流条件下进行,即Inom=400A和VDC=750V。所示损耗是在集电极电流(IC)和二极管电流(IF)为175A的条件下测得。所使用的RG值是根据上述VCE,peak和dv/dtmax限值推导得出。

我们来看IGBT损耗。如果集电极电流最大为175A,S7的动态损耗显然比T7略低。L7的情况则有所不同:毫无疑问,L7的动态损耗较大,这是因为L7为经优化的低静态损耗器件。如果IC175A,在TJ=150°C条件下,T7的动态损耗低于S7。然而,应该注意的是,L7和S7的设计电流密度高于T7。如果在相同的几何芯片尺寸下比较所有器件,情况就会有所改变。如果集电极电流为175A,S7的动态损耗比T7降低20%,但是S7的静态损耗仅比T7高100mV。L7的动态损耗基本不变,但是VCE再次下降。当IC=175A时,L7的静态压降比T7低300 mV。
对于二极管来说,情况要简单得多。为了清楚起见,950V RAPID二极管和1200V EC7二极管分别与S7和T7一起运行。950V RAPID二极管的损耗低于1200V EC7的损耗。此外,二极管损耗远低于IGBT损耗,但通常这一点在光伏应用中并不重要。
在本节中,我们将研究ANPC拓扑结构及其在功率模块设计内的相互作用。图4显示了光伏逆变器采用的典型ANPC拓扑结构。实验中使用了六个子系统,每个子系统由一个IGBT(T1至T6)和一个反并联二极管(D1至D6)组成。以对称方式从DC+到N和从N到DC-施加VDC。在子系统1到子系统4中,所研究的ANPC拓扑结构使用快速开关器件;在系统5和子系统6中,该ANPC拓扑结构使用低静态损耗器件。参考文献[5,6]全面地探讨和解释了ANPC拓扑结构和相关换流通路。

图4.子系统1至子系统4以及子系统5和子系统6中,ANPC拓扑结构分别采用快速开关器件和低静态损耗器件的示意图。实线和绿色虚线表示所研究的换流通路。
在有源功率运行中,比如正输出电压和正输出电流,图4中实线和绿色虚线表示典型的换流通路。为了清楚起见,T1与D2换流,而T5连续处于开通状态。因而,有源功率运行的一个主要换流通路是在DC+和N和/或N和DC-之间。因此,应该通过设计措施最大限度减少这些通路中的寄生电感,以确保优化性能。
下面分析ANPC拓扑结构性能与功率模块设计的相互作用,如图4所示。在本示例中,所有器件的最大阻断电压为650V。在任何情况下,分析结果均可以轻松地转移到阻断电压更高(比如950V或1200V)的任何其他IGBT和二极管技术。
该方法分析了T1和D2的开关特性。本文将总杂散电感为50nH的典型功率模块设计与Lσ,total=30nH的经优化功率模块设计进行比较。为了清楚起见,设定Lσ,total=Lσ,setup+Lσ,module,其中Lσ,setup为设置杂散电感,Lσ,module为模块杂散电感。如[7]中所述,杂散电感对器件性能有显著的影响。在本研究中,主要影响是由于存在ΔLσ,module,因为Lσ,setup未发生显著变化。
除非另有说明,本节所有测量均在室温下进行,即TJ=25°C,VDC=300V。实验所用IGBT(S5)和二极管(EC3)的Inom分别为400A和225A。
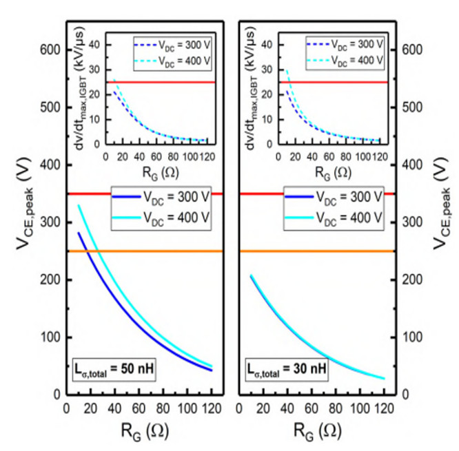
图5显示了IC=150A时T1与Lσ,total的关断波形。在两个用例中,RG相同,因此器件的开关特性相似。由此可见,VCE的显著差异与ΔLσ,module直接相关。然而,如果Lσ,total较低,则最大VCE为500V;如果Lσ,total较高,则会导致640V过电压,接近器件的最大阻断电压。此外,较高Lσ,total与IC和VCE上更明显的振荡相关。

图6显示了当Lσ,total=50nH和Lσ,total=30nH时,IGBT关断期间VCE,peak与RG和IC的关系。Lσ,total,VCE,peak随RG减小而增大,与Lσ,total和VCE,peak无关。如果RG较小且IC≥150A,则可以看到VCE,peak增加不明显。这是由于电流跳变(snap-off)振荡对开关特性的影响越来越大。因此,出现VCE,peak的位置从关断过程中由器件决定的di/dt转移到电流跳变区。如果RG较大,T1不再自关断,并且IC与VCE,peak的关系也会再次改变。图中明显可以看出,如果Lσ,total较大,VCE,peak值也会较高。因此,如果未优化Lσ,total,即降低到其最小值,必须限制IC,RG和/或VDC,以避免运行过程中超过器件的最大阻断能力。图7中图表证实了这些分析结果。图中显示了当IC=200A(相当于T1 Inom的50%)时,VCE,peak与RG的关系。当Lσ,total较高并且VDC=400V时,RG必须限制到28Ω;如果Lσ,total较低,则没有必要设定该限值。在VCE,peak条件下,T1可以在RG为10Ω或甚至更低情况下运行。

图6.顶部:TJ=25°C和VDC=300V条件下,当Lσ,total较高(左侧)和较低(右侧)时,IGBT关断期间T1的峰值电压与RG和IC的关系。底部:TJ=25°C和VDC=300V条件下,当Lσ,total较高(左侧)和较低(右侧)时,二极管恢复期间D2的dv/dtmax与RG和IF的关系。

我们来分析开关斜率。图7中插图显示了最大电压斜率dv/dtmax与RG的关系。假设dv/dt为上文所述25kV/µs,Lσ,total较高和较低时,关断期间最小RG均限制到13Ω。
参照对T1的分析,本文也对D2进行了类似分析。图8显示了IF=10A时,二极管恢复波形与Lσ,total的关系。同样,该分析中假设开关速度(即diF/dt)相同,因此IF和VF上的较大振荡与Lσ,total的影响直接相关。电流较小时,二极管开关速度达到最快。因此,这些工况下应考虑过压和dv/dt。

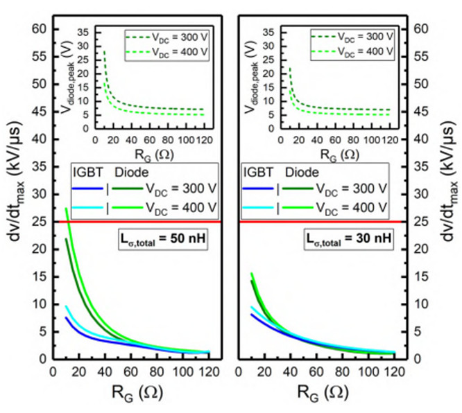
图6说明了当Lσ,total=50nH和30nH时,D2的dv/dtmax与RG和IF的关系。明显可以看出,RG和IF较低时,dv/dtmax达到最高值。随着RG和/或IF增大,dv/dtmax呈单调递减趋势。再来看Lσ,total,当Lσ,total较高时,dv/dtmax明显增加。具体解释如下:不存在寄生电感的情况下,二极管设计决定了由于给定di/dt条件下清除电荷过程而产生的电压斜率。寄生电感的存在导致感应电压对开关斜率造成叠加影响。特别是对于快速开关二极管,较大di/dt在恢复峰值之后出现,并导致额外的电压增加。这反过来又加大了陡度,从而二极管处出现更高的dv/dtmax。应该注意的是,这个结论只适用于二极管。对于换流通路中的IGBT,由于感应电压的符号反向,dv/dtmax值降低。
图9再次显示了RG与dv/dt的关系,具体显示了当IF=IC=10A时,dv/dtmax与RG的关系。本图表直观地显示了二极管反向恢复期间D2处的dv/dtmax以及IGBT开通期间T2处的dv/dtmax。当Lσ,total较高且VDC=400V时,RG必须限制到12Ω;如果Lσ,total较低,则没有必要设定该限值。这意味着,D2和T1可以在RG为10Ω或甚至更低情况下运行。如上文所述,当Lσ,total较高时,二极管的dv/dtmax与IGBT的dv/dtmax明显差异较大。只有当RG值大于50Ω时,二极管和IGBT的dv/dtmax值相似。如果Lσ,total较低,当RG为30Ω时就已经达到dv/dtmax。图9的插图显示了IF=10A和VDC分别为300V和400V条件下,D2的峰值电压。在IGBT关断期间也可以看到,当Lσ,tota较低时,Vdiode,peak降低。尽管这一影响十分显著,并且Vdiode,peak降低了百分之几十,RG的选择不受此限制。因此,对于IGBT开通和二极管恢复,仅dv/dtmax限制并决定RG的大小。

我们来总结这些分析结果:当Lσ,total较高时,IGBT关断期间VCE,peak值较高,并且二极管恢复期间dv/dtmax值较高。因此,如果选用典型的功率模块设计(与较高Lσ,total存在直接相关性),则必须在逆变器运行期间增大RG,以避免器件和/或栅极驱动单元遭到损坏。图10直观地显示了这些结果。图中显示了经优化功率模块设计(Lσ,total=30nH)和典型功率模块设计(Lσ,total=50nH)中,IGBT损耗(即,EOFF、EON和EREC之和)与IC和IF的关系。如上所述,RG取值确定如下:经优化功率模块设计的RG,on=10Ω,RG,off=13Ω;典型功率模块设计的RG,on=12Ω,RG,off=28Ω。可以明显看出,通过选用经优化的功率模块设计和更低RG值,IGBT和二极管的开关损耗大幅降低。对于子系统(即IGBT和二极管的组合)来说,损耗可降低多达28%。

图10.在TJ=25°C和150°C条件下,经优化功率模块设计(Lσ,total=30nH)和典型功率模块设计(Lσ,total=50nH)中T1和D2的开关损耗与IC和IF的关系。插图:TJ=150°C时,由于采用经优化功率模块设计,IGBT和二极管的损耗降低。
综上所述,如果主要目的是实现最佳性能,则必须采用经优化功率模块设计。经优化设计的适用性更强,支持运行更高负载电流或通过减小RG提高开关速度。在该系统中,这有助于提高灵活性,并且可以降低系统的复杂性,比如,减少无源元件或电源滤波器数量。
根据前一部分的分析和结论,要想在最终系统中实现最佳性能,必须采用经优化的功率模块设计。为此,我们按照以下步骤开发适用于1500V光伏逆变器的经优化功率模块。
第二步,在平行板波导设计中,使电源端子位置相互靠近,以最大限度减少DC+和N之间以及N和DC-之间的杂散电感。DC+,N和DC-的位置如图11所示。输出端子设置在输入端子对面,从而简化PCB设计。
第三步,确定内部布局,保证关键换流通路上衬底层仅存在非常小的换流回路。避免模块衬底之间存在换流通路。
第四步,使用新型无基板Easy3B解决方案开发极低电感对称式功率模块。因此,尽管该模块面积与两个传统Easy2B功率模块的面积相同,其杂散电感仅为15nH。另外,与Easy1B和Easy2B相比,Easy3B解决方案的热阻抗降低。
第五步,在该功率模块中集成950V IGBT和二极管技术。从而,针对1500V光伏逆变器进行优化且额定电流为400A的ANPC拓扑结构完成集成到单个功率模块中。
使用图4所示的1500V ANPC拓扑结构对该功率模块的性能进行评估。T1至T4子系统和T5至T6子系统中分别选用S7和L7。T2和T3的Inom为200A,所有其他IGBT的Inom值为400A。对于二极管,本文分析了两种主要应用场景:在一种场景中,所有子系统均集成200A RAPID二极管;在第二种场景中,使用Inom=60A的1200V SiC肖特基二极管替代RAPID二极管D2和D3。同时,将结合T7和EC7的ANPC拓扑结构作为参考设计,对有源功率换流通路进行比较。在所有用例中,假定平均模块温度最多增加30K,这限制了该解决方案的适用性。

图11.Easy3B解决方案,带有基于950V ANPC拓扑结构对应引脚分配。
图12显示了在DC+和DC-端子之间施加1200V电压时,最大输出电流Iout与开关频率fSW的关系。实线表示参考设计以及上述两个基于L7/S7场景的Iout。三种解决方案的额定电流相同。当fSW极低时,T7/EC7解决方案的Iout比两种L7/S7解决方案高最多15%。当fSW为高于20kHz的典型值,前者的Iout比后者高7%左右。值得一提的是,只有当T7/EC7解决方案的功率密度明显较低时,才会实现上述Iout优势。如果功率密度相同,即L7、S7和RAPID二极管的芯片面积相同,情况就会改变。图中虚线直观地显示了这一点。可以明显看出,配置RAPID二极管的L7/S7解决方案和配置SiC二极管的L7/S7解决方案分别实现了Iout增加高达40%和75%。即使当fSW处于0-40kHz范围时,Iout也比T7/EC7参考设计高出最少10%,最多26%。这些研究结果并不令人意外,因为T7和EC7针对通用变频器进行了优化,因而开关频率更低。因此,如果光伏应用要求提高开关速度,那么L7和S7的优势就会显现出来。
图12中插图显示了达到对应的最大Iout时,系统效率与fSW的关系。所有解决方案的系统效率至少达到了99.2%。L7/S7解决方案的系统效率始终比基于T7的解决方案高出最少0.05%,最多0.3%。应该注意的是,与Inom=400A(实线解决方案相比,芯片尺寸更大的L7/S7解决方案(虚线)的系统效率略低,但Iout明显更高。尽管系统效率略低,但当fSW=20kHz时,Iout提高了25%至35%。

图12.在相同热边界条件下,不同解决方案和功率密度不同时Iout与fSW的关系。插图:在相应的Iout条件下,不同解决方案和功率密度不同时系统效率与fSW的关系。
本文介绍了新型950V IGBT和二极管及其固有设计方案,并将其与现有的1200V技术进行了比较。已有的微沟槽设计支持开发优化静态损耗的IGBT(L7)和快速开关IGBT(S7)。与最先进的1200V IGBT相比,新型950V技术的静态损耗显著降低,开关性能显著提高,并且实现了更优系统性能。
通过对功率模块设计与ANPC拓扑结构相互作用的综合分析,本文确定了关键换流通路和系统限制因素。分析结果表明,经优化的功率模块设计显著降低了总杂散电感,从而进一步简化了开关操作,使损耗大幅降低多达28%。
基于经优化的功率模块设计,我们提出了额定电流为400A的全集成ANPC拓扑结构,适用于1500V光伏逆变器。新推出的Easy3B解决方案采用了该ANPC结构,使得模块杂散电感低至仅15nH。这种功率模块设计结合新推出的950V IGBT为光伏逆变器提供了两种可选方案。一方面,如果更换给定的1200V IGBT,则可以在大幅减小芯片面积的同时实现相同的输出功率。另一方面,如果采用相同的芯片面积,则输出电流可增加25%至75%。